Las inecuaciones racionales se presentan con frecuencia en diversos problemas y, en ocasiones, dar con la solución resulta un tanto complicado. Pero con estas sencillas instrucciones ya no habrá dificultad.
El primer paso es identificarlas. Las inecuaciones racionales contienen siempre algún término de la forma:
Siendo P(x) y Q(x) polinomios de cualquier grado.Las técnicas habituales de resolución de
inecuaciones serán útiles a la hora de resolver este tipo de inecuación,
siempre que se tenga presente que Q(x) debe ser diferente de 0. De esta manera, cualquier valor que anule el denominador no podrá formar parte de la solución. Esto es lo primero que se debe tener en cuenta a la hora de resolverlas.
Como ejemplos de inecuaciones racionales, se tienen:
Es decir, antes de
resolver, hay que convertir toda la inecuación racional en un solo cociente, el cual se
compara con 0 de acuerdo al sentido indicado en la desigualdad original. En
este aspecto, las desigualdades no se comportan como las ecuaciones, y si
queremos aislar la incógnita con las reglas usuales de resolución, se corre el riesgo de no obtener todas las soluciones.
En otras palabras, la
desigualdad obtenida podría no ser equivalente a la desigualdad original.
En su lugar, se hará
esto:
Y luego es que se procede a comparar los signos del numerador y del denominador para que se satisfaga la desigualdad planteada.
En el ejemplo propuesto, los valores que anulan el denominador son x
= 1 y x= −1, por lo tanto, se tendrá especial cuidado de que no estén incluidos en la solución. La solución completa de esta inecuación se encuentra en el ejemplo 5, al
final del post.
Estrategia
general para resolver inecuaciones racionales
Paso 1
Si no lo está desde el
principio, manipular algebraicamente la inecuación para que resulte un cociente
a la izquierda y un cero a la derecha.
Paso 2
Factorizar numerador y
denominador, para determinar fácilmente los puntos críticos de la inecuación, que
son aquellos en los cuales el numerador y el denominador se hacen cero.
Paso 3
Dividir la recta
numérica en intervalos limitados por los puntos críticos hallados en el paso
anterior.
Paso 4
En cada intervalo,
elegir un valor de prueba y comprobar el signo de la expresión. Anotar el
resultado en una tabla o sobre la misma recta numérica.
Paso 5
Seleccionar los
intervalos en los que la desigualdad se cumple y anotar cada uno de ellos.
Juntos, serán la solución buscada.
Paso 6
Verificar que la
solución elegida es correcta, seleccionando algunos valores y sustituyendo en la
inecuación original.
Los siguientes
ejemplos ilustrarán lo dicho anteriormente.
Ejemplo 1
Resolver la desigualdad
racional y expresar la solución como intervalo y en forma gráfica.Ya la inecuación se
presenta de la forma apropiada, es decir, es un cociente a la izquierda y un
cero a la derecha. Tampoco es necesario factorizar, puesto que el numerador y
el denominador consisten cada uno en un solo factor.
El siguiente paso es
determinar los puntos críticos, que anulan respectivamente el numerador y el
denominador:
x+2 = 0 ⇨ x=−2
x−1 = 0 ⇨ x=1
Ahora, con estos puntos, se construye una tabla como la que se muestra a continuación:
Las flechas azules a
la izquierda indican valores menores que el punto crítico, y las flechas que
apuntan a la derecha señalan valores mayores.
Lo que sigue es
analizar el signo que toma cada factor en cada uno de esos intervalos y
colocarlo en la respectiva casilla en blanco. Para ello, se toman valores de
prueba arbitrarios.
Análisis del factor x+2
En primer lugar, se
analiza lo que sucede con el signo del factor x+2 para valores menores que −2.
Por ejemplo, si x = −4, −4+2=−2 es negativo, por lo tanto, se coloca un signo
negativo en la casilla correspondiente.
Para valores
comprendidos entre −2 y 1, por ejemplo, x= 0, el signo de x+2 es positivo, ya
que 0+2=2.
Finalmente, para
valores mayores que 1, el factor x+2 es positivo, por ejemplo, para x = 4, 4+2
= 6 es positivo.
Análisis del factor
Para valores menores
que −2, el factor x−1 es negativo, por ejemplo, para x = −3, −3−1=−4.
Si se toman valores
comprendidos entre −2 y 1, por ejemplo, x = 0, el factor x-1 todavía será
negativo: 0−1=−1.
Por último, para
valores mayores que 1, por ejemplo 3, el factor x−1 será positivo: 3−1=2.
El paso final es
obtener el signo resultante de la expresión algebraica, usando la bien conocida
regla de los signos.
La desigualdad
original pide que la expresión racional sea menor que cero, por lo tanto, el
intervalo solución es (-2,1).
Y su representación
gráfica sobre la recta numérica queda así:
Ejemplo 2
Resolver la desigualdad
racional propuesta y expresar la solución como intervalo y en forma gráfica:
Solución
No es necesario
factorizar, pero sí es preciso reescribir la inecuación como un cociente único a
la izquierda y un cero a la derecha:
- x=5
- x=1
Interesan los resultados positivos del cociente, ya que este debe ser mayor o igual que 0, por lo tanto, los intervalos seleccionados son el primero y el tercero, de manera que la solución queda establecida así:
Nótese que se utiliza
corchete para limitar el primer intervalo, puesto que no hay problema en que x = -5
forme parte de la solución. Pero se emplea un paréntesis para excluir a x=−1, en vista de que este valor anula el denominador, lo que no está permitido. En consecuencia, la
solución, en forma gráfica, será:
Ejemplo 3
Resolver la desigualdad racional y expresar la solución como intervalo y en forma gráfica:
Solución
La inecuación ya se
presenta factorizada y en la forma apropiada, por lo tanto, se encuentran los
ceros de cada factor:
x−3=0 ⇨ x = 3
x+7=0 ⇨ x = −7
(x−5)2= 0 ⇨ x = 5
La tabla tendrá tres
factores:
Obsérvese que no siempre los signos de la última fila se alternan, ya que el factor cuadrático siempre es positivo. Los intervalos a seleccionar son aquellos en los que el cociente resulta positivo, y la solución queda establecida como:
Obsérvese que x = 5
está excluido.
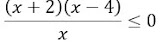
Ejemplo 4
Resolver la
desigualdad racional y expresar la solución como intervalo y en forma gráfica:
Solución
En primer lugar, se convierte todo en un único
cociente a la izquierda, y un cero a la derecha:
Se factoriza el numerador, de ser posible y queda:
Nótese que x = 0 se excluye, pero con x = −2 y
x = 4 no hay problema, ya que solo anulan el numerador.
En forma gráfica, la solución es:
Ejemplo 5
Resolver la
desigualdad racional y expresar la solución como intervalo y en forma gráfica:
Solución
Esta inecuación se planteó al comienzo y se resuelve transformándola en:
Alternativamente, se puede escribir:
Los puntos críticos son:
- x = 0
- x= 2
- x= −1
- x=1
Y la tabla de signos queda así:
Se necesitan los intervalos donde la expresión
es negativa, por lo tanto, la solución es:






No hay comentarios:
Publicar un comentario