lunes, 24 de junio de 2024

¿Cómo resolver un límite de la forma ∞/∞ paso a paso?

Esta indeterminación suele presentarse en funciones racionales de la forma:


Encuentra el límite al infinito en esta pizarra con múltiples fórmulas y ecuaciones matemáticas. Fuente: Arkansas University.


Donde P(x) y Q(x) son polinomios de grado n y grado m respectivamente:


Al hacer tender la variable a +∞ o a —∞, se presentan las siguientes posibilidades, cuyo resultado depende de la comparación entre los grados del numerador y del numerador:


  • Cuando el grado de P(x) es menor que el grado de Q(x), la función tiende a 0 cuando x toma valores muy grandes, ya que el denominador crece más deprisa que el numerador.
  • Si el grado del numerador P(x) es igual al grado del denominador Q(x), el resultado es el cociente de los coeficientes de la potencia correspondiente a n.
  • Por último, si el grado del numerador es mayor que el grado al denominador, el cociente entre ambos tiene un grado mayor que 1 y en consecuencia, el límite no existe.

Sin embargo, debe tenerse en cuenta que si la tendencia de la función es crecer o decrecer indefinidamente, es necesario precisarlo, indicando ± ∞ según corresponda.



Fuente: Open Stax.


En la figura se muestran varias posibilidades: 
  • Arriba a la izquierda, la función tiende al valor y= k cuando x tiende a infinito. 
  • A la derecha, cuando x se hace muy grande y positivo, la función crece sin medida, es decir, y tiende a + ∞.
  • Abajo, a la izquierda, la función decrece sin medida cuando x tiende a infinito, es decir, es decir, y tiende a -∞. 
  • Por último, en la figura de la derecha, la función oscila y el límite cuando x tiende a infinito no existe.

Los ejemplos resueltos a continuación ilustran lo antes dicho:

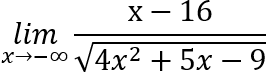
Ejemplo 1

Calcula, de ser posible, el siguiente límite:


Solución

En primer lugar, hay que asegurarse de que el límite corresponde a una indeterminación ∞/∞, lo cual es muy sencillo. Basta con verificar que, cuando la variable crece, lo hace también el numerador, así como el denominador.

Una vez que se está convencido de ello, se examina el grado del numerador y el del denominador. En el ejemplo propuesto, ambos tienen grado 2, ya que son polinomios cuadráticos. Al ser n=m=2, solo es necesario tener en cuenta los términos cuadráticos, pues los términos de menor exponente se pueden despreciar frente a estos:






Ejemplo 2

Calcula, si existe, el siguiente límite:


Solución



Ejemplo 3

Calcula, si existe, el siguiente límite:



Solución

En este ejemplo, el denominador no es polinomio. Sin embargo, el argumento de la raíz cuadrada es un polinomio y el procedimiento anterior de eliminar los términos de grado menor puede llevarse a cabo sin mayor inconveniente:


Recuerda que puedes verificar estos límites muy fácilmente, construyendo la gráfica de la función mediante alguna herramienta online como GeoGebra o Desmos.

Ejemplo 4

Calcula el límite en caso de que exista:






Solución

El grado del numerador es 0, ya que es una constante, mientras que el grado del denominador es 1 y crece rápidamente conforme aumenta el valor de la variable. Cuando se sustituye un número negativo con valor absoluto grande, la fracción tiene a hacerse cada vez más pequeña, por lo tanto:



Por F. Zapata




No hay comentarios:

Publicar un comentario