jueves, 15 de febrero de 2024

Ecuaciones irracionales

Las ecuaciones irracionales con una incógnita, son aquellas en las cuales la incógnita aparece como parte del argumento de una raíz cuadrada, cúbica, cuarta, etc. Son frecuentes en ciencia e ingeniería, por ejemplo en:

  • Geometría, para encontrar el radio ‘r’ de una esfera de volumen ‘V’:




  • El teorema de Torricelli, según el cual la velocidad ‘v’ de salida de un fluido a través de un orificio, es la misma que tendría si cayera libremente con aceleración ‘g’ desde el nivel de la superficie del tanque, cuya profundidad es ‘h’:


  • Oscilaciones: en el sistema masa-resorte, donde ‘m’ es la masa y el resorte tiene una constante ‘k’, que cuantifica si es un resorte más o menos rígido, la frecuencia de oscilación del sistema ‘ω’ viene dada por:


Solución de las ecuaciones irracionales

Para resolver ecuaciones irracionales, es necesario tomar en cuenta que la operación inversa que permite despejar la incógnita dentro de la raíz es la potenciación.

Si la incógnita está bajo una raíz cuadrada, hay que pensar en elevar al cuadrado, si está bajo una raíz cúbica, se eleva al cubo y así sucesivamente. De igual manera, las reglas que se utilizan para resolver otros tipos de ecuaciones, en principio pueden utilizarse en estas ecuaciones, por ejemplo, transponer términos, así como multiplicar y/ dividir por una misma cantidad a ambos lados de la igualdad, cuando sea necesario.

No obstante, hay que advertir que, al transformar la ecuación original, se obtiene un conjunto solución que puede no coincidir en su totalidad con el conjunto solución de la ecuación original.

Soluciones extrañas

Al resolver por los métodos tradicionales una ecuación irracional, puede que se presenten las llamadas soluciones extrañas, (en algunos textos se las llama soluciones espurias), las cuales surgen debido a las transformaciones algebraicas que se llevan a cabo para obtener la ecuación equivalente, cuya resolución sea inmediata.

Durante la implementación de dichos procedimientos, en ocasiones se pasa por alto el hecho de que:

No existen raíces de índice par para cantidades negativas.

Por lo tanto, al resolver la ecuación equivalente, aparecen soluciones que no son válidas en la ecuación original. Estas son, precisamente, las soluciones extrañas.

Para descartarlas, se verifican las soluciones en la ecuación original, antes de darlas como válidas.

Los siguientes ejemplos ilustran todo lo dicho.

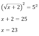
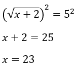
Ejemplo 1

Resolver la ecuación:



Solución

Elevando al cuadrado a ambos lados de la igualdad, se obtiene:






Al sustituir este valor en la ecuación original, se obtiene una igualdad. Se deja al lector la tarea de verificarlo.

Ejemplo 2

Resolver la ecuación:





Solución












Esta es una ecuación de segundo grado que puede resolverse factorizando:





Las soluciones son:






Solo x=10, al ser sustituida en la ecuación original, produce una igualdad. Se deja al lector la tarea de comprobarlo. Por lo tanto, la solución buscada es:


Ejemplo 3

Resolver la ecuación:




Solución















Ejemplo 4

¿Cuál es el radio de una esfera cuyo volumen es 33.493 cm3?

Solución









Por F. Zapata














No hay comentarios:

Publicar un comentario