viernes, 3 de noviembre de 2023

Racionalización

La racionalización consiste en reescribir una expresión fraccionaria que contenga radicales, de tal forma que estos no aparezcan en el numerador o el denominador, según sea el caso. Lo más usual es racionalizar los denominadores, lo cual facilita en muchos casos las operaciones con fracciones, como suma y resta, ya que es preferible operar cuando los denominadores son enteros (al menos en forma manual).

La ventaja de racionalizar denominadores es que resulta más sencillo operar cuando los denominadores son números enteros. Fuente: F. Zapata.



Para racionalizar, es necesario encontrar el factor de racionalización apropiado, tras lo cual se multiplica y se divide la expresión, ya sea numérica o algebraica, de forma tal que se obtenga un numerador o un denominador libre de radicales (hay que estar atento al enunciado para saber qué se va a racionalizar).

Por último, la expresión se simplifica y queda lista para operar con ella.

En la práctica, se presentan denominadores de diversas formas algebraicas, de los cuales se describen a continuación los casos más usuales:

1) Denominador de la forma:

Este es el caso más sencillo, en el cual el factor de racionalización es √a:

Ejemplo

Racionalizar el denominador de la expresión:


Solución

El factor de racionalización es √2:




Ejemplo

Racionalizar el denominador de la expresión:


Solución

El factor de racionalización es:


Entonces:





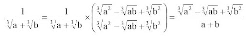
2) Denominador de la forma:

Para este tipo de expresiones, el factor de racionalización es:


Por lo tanto:




Ejemplo

Racionalizar el denominador de la expresión:



Solución

Identificando en el factor de racionalización anterior, resulta:
a= x; m = 2 y n = 5

De allí que:



3) Denominador de la forma:

Si el denominador es un binomio que contiene radical, hay que multiplicar numerador y denominador por el conjugado del denominador: 



Y enseguida hacer uso del producto notable:



Así:

Ejemplo

Racionalizar el denominador de la expresión:


Solución

El conjugado del denominador es:


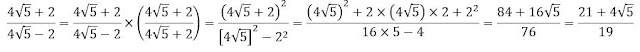
Ejemplo

Racionalizar el denominador de:



Solución




4) Denominador de la forma:



La estrategia aquí es valerse del siguiente producto notable:



Al operar con este factor de racionalización, el denominador se convierte en:


Caso con signo negativo




Caso con signo positivo


Ejemplo

Racionalizar el denominador de:


Solución

 a = 2, b = 3 y el signo en el denominador es negativo:



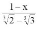
Ejemplo

Racionalizar el numerador de:


Solución

Para este ejercicio se escoge el producto notable con signo positivo en el binomio de raíces cúbicas, con a = x y b = 2, por lo que resulta:

Por F. Zapata.



No hay comentarios:

Publicar un comentario