lunes, 30 de octubre de 2023

Radicales y sus propiedades

Los radicales o raíces son expresiones matemáticas muy utilizadas en álgebra, geometría, cálculo y otras disciplinas. En un radical, se distinguen el índice o grado n, el muy conocido signo radical, que denota la operación a realizar, y la cantidad sub-radical o radicando, que es la expresión o el número que se encuentra bajo el signo.




Cuando n = 2 representa una raíz cuadrada y el índice no se escribe. Obsérvese que la operación inversa es la potencia y es que, si "la raíz n-ésima de a es igual a b", entonces  "b elevado a la n es igual a a", como se escribe matemáticamente:

 El siguiente es un ejemplo de radical, concretamente, de raíz cuadrada:


La raíz cuadrada de 16 tiene dos resultados posibles, ya que, tanto +4 como 4, al ser elevados al cuadrado, dan como resultado el 16. Mediante el valor absoluto es posible escribir matemáticamente esto:


Más ejemplos de radicales con otros índices son:


Nótese lo siguiente:

  • Si el radicando es positivo y la raíz es par, hay dos soluciones reales y opuestas.
  • Para radicandos negativos e índice par, no hay solución.
  • Si el radicando es positivo o negativo, y la raíz es de índice impar, hay una solución con el mismo signo que lleva la cantidad subradical.

 No siempre los radicales tienen como resultado un número entero o racional, y en tales casos, suele dejarse indicado, por ejemplo:


Es importante destacar que números como √2 no tienen una representación exacta en los números racionales, pero en forma decimal pueden escribirse de manera aproximada (no exactamente igual, ya que esto requeriría infinitos decimales):



Radicales como potencias

La radicación es una potenciación con exponente fraccionario. En este caso, la raíz de cierto orden de un número, es equivalente a elevar dicho número a la potencia inversa:

De igual manera, cualquier expresión elevada a un exponente fraccionario es igual a una raíz cuyo índice es el denominador y cuya cantidad subradical está elevada a la potencia igual al numerador.

 

Ejemplos







Las leyes de los exponentes se cumplen también con la radicación cuando se piensa en este como exponente fraccionario.

 

1) Raíz de un producto

La raíz n-ésima de un producto es igual al producto de las raíces de los factores:


Donde a y b son números reales no negativos.

Ejemplo



2) Raíz de un cociente

 La raíz de una fracción es igual al cociente de la raíz del numerador entre la raíz del denominador.


Ejemplo







3) Raíz de una raíz

Para calcular la raíz de una raíz se multiplican los índices de las raíces y se conserva el radicando.


Ejemplo





Simplificación de radicales

La simplificación de radicales se lleva a cabo dividiendo índice de la raíz y exponente de la cantidad subradical por el MCD (máximo común divisor) de ambos.

 

Ejemplo

Simplificar, si es posible, el siguiente radical:



Solución

MCD (21,9) = 3

Por lo tanto:


Extraer factores de un radical

Para extraer factores de un radical conviene descomponer la cantidad subradical convenientemente, buscando siempre que queden exponentes múltiplos del índice, ya que estos se pueden simplificar. Dentro del radical pueden quedar los exponentes que sean menores que el índice.

Ejemplo

Extraer todos los factores que sea posible del siguiente radical:


Solución




Introducción de factores en una raíz

Para introducir un factor dentro de una raíz, se eleva al índice y se multiplica por la cantidad subradical.

 

Ejemplo

Introducir al radical los factores que se encuentren fuera en la siguiente expresión:

Solución




Ejemplo

Efectuar la siguiente operación:

Solución

 Se comienza por introducir el factor 5a2 en la raíz cuadrada:




Luego se procede a multiplicar los índices de las raíces y efectuar las potencias indicadas en la cantidad subradical:




Convertir radicales a índice común

Mediante este procedimiento se convierten radicales de distinto índice a radicales equivalentes con igual índice.

 Paso 1

Calcular el índice común, el cual es el mcm (mínimo común múltiplo) de los índices.

 Paso 2

Elevar las cantidades subradicales al índice que resulta de dividir el índice común entre el índice respectivo.

 Es más fácil de visualizar con un ejemplo:

 

Ejemplo

Convertir a un índice común los radicales:


Solución

 mcm (2,3,4) = 12






Ejemplo

Ordenar de mayor a menor los radicales:


Solución

Para comparar radicales de distinto índice, se pasan todos al mismo índice y se comparan las cantidades subradicales. Aquel radical que tiene la mayor cantidad subradical es el mayor:

mcm (3,5,15) = 15






El orden es:



Producto y cociente de radicales con distinto índice

 Para efectuar operaciones de producto y división con radicales de diferente índice, es necesario convertirlos al mismo índice, siguiendo las indicaciones del apartado anterior.

Ejemplo

Efectuar la siguiente operación:

Solución

mcm (4,6)=12





Ejemplo

Efectuar la siguiente operación:



Solución





Radicales semejantes

Son aquellos radicales que tienen el mismo índice y la misma cantidad subradical. El coeficiente real que los multiplica puede ser diferente.

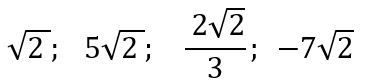
Por ejemplo, los siguientes radicales son semejantes:


En cambio, los siguientes radicales no son semejantes:


Reducción de radicales semejantes

Los radicales semejantes se pueden reducir sumándolos algebraicamente, pero cuando no son semejantes, la suma algebraica debe quedar indicada.

Ejemplo

Efectuar:


Solución

Puesto que se trata de radicales semejantes, se suman algebraicamente los coeficientes:


Ejemplo

Efectuar:


Solución

En vista de que los radicales no son semejantes y ya se han simplificado al máximo, la suma se debe dejar indicada tal como está.

 

Ejemplo

Efectuar:

Solución

Las cantidades subradicales son distintas y, en principio, parece que no son radicales semejantes, sin embargo, después de descomponer cada cantidad subradical como producto de sus factores primos, se obtiene:

28 = 227

63 = 327

Al aparecer radicales semejantes, es posible reducirlos y simplificar la expresión:






Por F. Zapata.



No hay comentarios:

Publicar un comentario